アルゴリズム研究室
4.10_演習問題_4 解答
直交変換であることを示すには、Hとその転置行列の積が単位行列になることを調べればよい。ただし、定数の係数を除いて考える。また、各サイズのアダマール変換が与えられた後、計算により確かめることにする。
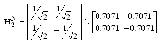
N=2の場合:

に対し、転置行列は、同じ形である。


N=4の場合、同様にして

解説:
1/sqrt(N)をかければ正規直交変換になる。すなわち、
とすれば、

と単位行列となり、
は正規直交変換になる。しかし、実際の計算は、成分が1とー1の方がやりやすいので、正規化せず、逆変換後に全体を1/N倍して合わせる事がなされることが多い。